出版学院郑振华副教授聚焦“学习投入度”开展创新研究
发布时间: 2024-01-01    浏览次数: 0

在过去的十年中,学习投入度越来越受到研究人员的关注。作为影响大学生学业成绩的关键因素,学习投入度对学生未来的长期发展和社会创造力具有重要意义。

近日,出版学院环境设计系副教授郑振华聚焦“学习投入度”开展创新研究,最终成果在《自然》(Nature)旗下期刊《人文与社会科学传播》(Humanities & Social Sciences Communications)上发表,论文题目为大学图书馆环境对学生互动和大学生学习投入的影响The influence of university library environment on student interactions and college students’ learning engagement),郑振华副教授为该论文第一作者,上海理工大学为第一单位,曾敏等硕士研究生为主要研究成员。

目前的研究表明,大学生的整体学习投入度水平较低,对教育质量和长远发展非常不利。图书馆在高校校园和大学生生活中扮演着非常重要的角色。图书馆已不仅仅是大学知识资源的存储管理中心与校园文化传承的重要载体,更是成为师生交流和合作的重要平台,影响着学校的学术氛围与学生的学习状态。然而,大学图书馆环境对大学生学习投入度的影响尚未得到充分探索。

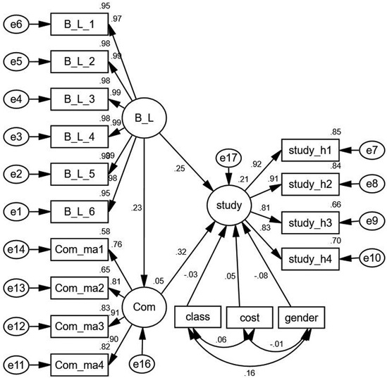
论文研究的数据来自对45所中国大学的调查,论文证实了图书馆环境通过学生互动交流的中介作用影响大学生的学习投入度。更重要的是该研究发现中国大学生在文理科专业的学习投入存在差异,文科专业的学习投入度远低于理科学生,同时,图书馆环境对文科生学习投入度的直接影响显著高于对理科学生的影响。对于理科生而言,图书馆环境更多通过促进学生互动交流进而提升学习投入度。论文呼吁,未来图书馆环境设计、建设和改造中,要特别注重图书馆的复合功能的拓展,要注重引导更多的学生通过图书馆的空间特征进行友好互动,满足不同学科的多样化需求。图书馆环境设计与建设尤其需要特别关注文科学生的需求,以提高大学生的整体学习投入度。


论文相关示意图

论文部分截图


全文链接:https://www.nature.com/articles/s41599-024-02892-y#author-information



供稿:出版学院